Since the last BMS Tropical Update, Sara has developed along the Honduras coastline. Sara is located close to Honduras' northern coast, with sustained winds of around 50 mph, as a tropical storm. As Sara continues to slowly skirt the northern coast of Honduras, it will dump a significant amount of rain inland. However, with that being said, the proximity to land is limiting organization and development. Sara is expected to cross the Gulf of Honduras, making landfall in Belize and dissipating inland over Guatemala or the southern Yucatan.
The primary risk is heavy rainfall—and plenty of it. The mountains of Central America will cause flash flooding and mudslides. Honduras may even experience more than 2 feet of rain over the next few days. Based on past named storm seasons like 2020 with Eta and Iota, we know that devastating effects on the region are possible. Over this weekend, there is still a chance of some additional development before landfall near Belize. Still, Sara's proximity to land will limit any major strengthening before landfall Sunday morning.

What Happens to Florida is Doomed
If you recall, the previous tropical update included several significant "what-ifs." As mentioned, a lot of the future forecast relied on just how strong Sara was and how much interaction Sara would have with the coastline of Central America. This is why the forecasts went from Florida, which is doomed with a major hurricane, to where the storm went in just a few days. The key takeaway here is the importance of not placing too much confidence in long-range forecasts. Understanding the many moving parts that influence these predictions is crucial. This also highlights why the National Hurricane Center limits its forecasts to a 5-day window. Beyond that, most of the time, the forecasts simply are not actionable due to the amount of uncertainty. This is key for the insurance industry as actionable insight is critical to near-term mitigation and deployment of various resources to deal with potential claims. It is not to say long-range forecasts are not useful. For instance, there are times when increased caution needs to be used. As we also highlighted in our last tropical update, season tropical forecasts are even more volatile given the evolution of seasons that can influence different weather conditions that influence the long-range forecast. It is important to remember that until a tropical disturbance develops a well-defined low-level center of circulation, it is better to rely on ensemble forecasts rather than focusing solely on deterministic model guidance. Another issue that often arises in named storm forecasting with early systems is center reformations, which can significantly affect both track and intensity downstream. If Sara had stayed over water and had not had so much land interaction, Florida could have likely had a late-season hurricane. Note that “could have been” is the key point.
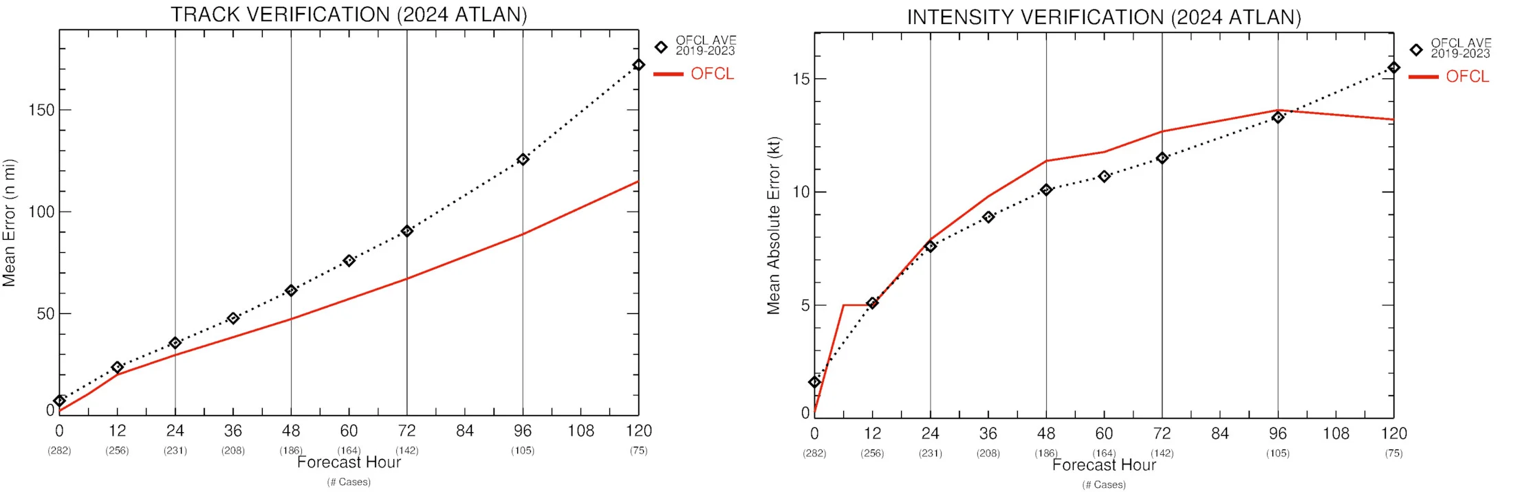
According to data that Brian McNoldy collects, the National Hurricane Center has approved the 2019 – 2023 Average Track error overall this season, particularly in the longer forecast time frames of 96 and 120 hours. The Intensity forecast was a bit more tricky this year, but overall, they aligned with the average intensity error and improved upon the intensity forecast at 120 hours.

What’s Impacts Are Expected Next Week
Next Monday and Tuesday, the Gulf of Mexico will be influenced by a powerful trough of low pressure in the central U.S., providing a cold front across the region. Sara is expected to merge with a cold front, intensifying mid-week thunderstorm activity associated with the front. Currently, the primary impacts in Florida are anticipated to be severe weather late Tuesday in the Panhandle, with storms advancing across the Florida peninsula on Wednesday and affecting other parts of the Southeastern U.S. The severe thunderstorms provide a risk of gusty winds along the convective line. Rainfall totals in the Panhandle could reach 1 inch or more, while amounts for the peninsula will likely be a little lower, posing no significant risk of insurance losses. On a positive note, parts of the Southeast and Northeast may see their heaviest rain in months, offering some relief as fire concerns grow in areas of the Mid-Atlantic and Northeast U.S. Below are some graphics to outline general guidance of possible hazards given the large scale upper trough that will impact much of the U.S. over the next week.

This may be the final storm-specific update, but rest assured, a season wrap-up will follow, highlighting the many lessons learned. As always, the industry will reflect on another impactful year and the insights it brings.





